100%
시험 미리보기
※ 창 좌우폭을 줄이시면 모바일 사이즈 응답창을 보실 수 있습니다
※ 문항 무작위화는 미리보기 화면에서 제공되지 않습니다.

해당 시험의 출처는 인사혁신처 사이버국가 고시 센터(https://www.gosi.kr/)에 있습니다.

사용 시 출처를 꼭 표기해주시기 바랍니다.

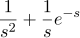
1

다음 함수 의 라플라스(Laplace) 변환으로 옳은 것은?

1.PNG

2

표준형 2차 제어시스템에서 단위계단(unit step) 입력을 인가할 때, 시간응답 특성에 대한 설명으로 옳지 않은 것은?

3

질량 m, 스프링 상수 k, 댐퍼 c로 구성된 질량-스프링-댐퍼 시스템에서 제어입력 F에 대한 상태공간 모델은?

(단, ​​​​​​​, 이고, 시스템은 마찰이 없는 평면에서 수평으로 움직인다)

1.png

4

다음 시스템에서 단위임펄스(unit impulse) 응답 ​​​​​​​는? (단, 이다)

4.PNG

5

표준형 2차 시스템에서 극점(pole)과 영점(zero)의 특성에 대한 설명으로 옳지 않은 것은?

6

s평면의 우반평면에 극점을 갖지 않는 루프 전달함수를 포함한 단위 피드백 제어시스템이 불안정한 경우에 해당하는 나이퀴스트(Nyquist) 선도는?

7

단위 피드백(unity feedback) 제어시스템에서 루프(loop) 전달함수 L(s)에 대하여 시스템의 이득여유(gain margin)가 20 log2 dB로 주어질 때 K의 값은?

2.png

8

다음 피드백 제어시스템에서 극점이 s평면의 우반평면(right half plane)에 두 개 존재하도록 하는 의 범위로 옳지 않은 것은?

8.PNG

9

PD 제어기가 사용된 제어시스템에서 단위램프(unit ramp) 입력  에 대한 정상상태 오차가 0.025이고, 감쇠비(damping ratio)가 1이 되는 의 값은?

(단, ​​​​​​​는 단위계단 신호이다)

3.png

10

특성방정식(characteristic equation)이 다음과 같이 주어진 시스템에서 근궤적에 대한 설명으로 옳지 않은 것은?

11

다음은 인가전압 와 출력 회전각 로 이뤄진 DC모터의 블록 선도이다. 전달함수로 옳은 것은?

(단, L, R,  , J, b, k는 모터 상수이고, 는 출력의 각속도이다)





4.png

12

다음 미분방정식으로 표현된 시스템에 대한 설명으로 옳지 않은 것은?

12.PNG

13

다음 피드백 제어시스템에서 입력 에 대한 정상상태 오차는?

(단, 는 단위계단 신호이다)

5.png

14

다음 시스템에서 제어가능(controllable)하지 않은 와 관측가능(observable)하지 않은 의 합 ​​​​​​​의 값이 될 수 없는 것은?

14.PNG

15

폐루프 전달함수 T(s)가 다음과 같이 주어진 시스템에서 입력 u(t) =  와 정상상태 출력 y(t)의 위상차가 -90 °가 되는 주파수 ​​​​​​​ 와 출력 y(t)는?

(단, 주파수는  > 0이다)

6.png

16

다음 시스템에서 단위계단 입력을 인가하였을 때, 시스템의 극점(pole)의 실수부가 모두 -0.5보다 작게 되는 K의 범위와 정상상태 오차 ​​​​​​​는?

8.png

17

전달함수 G(s)의 나이퀴스트 선도가 다음과 같이 주어질 때, a+b의 값은?

(단, a, b는 실수이며 a > b이다)

9.png

18

다음 피드백 제어시스템에서 C(s) = K일 때 단위계단 입력에 대한 정상상태 오차는 0.5이고, 보상기(compensator) ​​​​​​​를 사용하면 정상상태 오차는 0.1이다. 보상기의 극점을 -0.01에 배치할 때, 보상기에 대한 설명으로 옳은 것은?

(단, G(s) 0형(type 0) 시스템이다)

10.png

19

다음 시스템이 안정하기 위한 a, b, c의 범위는?

(단, , 는 상태변수의 라플라스 변환이다

7.png

20

단위 피드백 제어시스템에서 1형 루프 전달함수 L(s)의 보드(Bode) 선도의 크기가 다음과 같이 주어질 때, 램프오차상수(ramp error constant) 는?

11.png

다른 브라우저를 사용해 보세요.

현재 접속하신 브라우저는 지원하지 않는 브라우저입니다. 아래 브라우저의 최신 버전을 이용해 주시기 바랍니다.
아래의 아이콘을 클릭하면 해당 브라우저의 설치 화면으로 이동합니다.